What happens when a household loses a job, gets hit by flood, or experiences a health emergency? For many families in the region, it’s not just a one-time hardship, it’s part of a repeating pattern.
We used data on urban households from Colombia’s Encuesta Longitudinal Colombiana de la Universidad de los Andes (ELCA). This nationally representative panel survey has been following the same households since 2010. Because these households were tracked over time, we can gain insight into the recurring pattern of households being affected by shocks, their coping mechanisms, and whether they manage to recover.
Here’s what we learned.
Learning from the ELCA
In each round of the ELCA, households reported whether they had experienced a shock in the past three years, such as divorce, the death of a household member, job loss, a natural disaster, bankruptcy, or a similar event. For each reported shock, households were also asked about its economic impact on their household’s stability—categorized as high, medium, or low—and what actions they took to cope. Examples of coping strategies include working more hours, migrating, relocating, using savings, borrowing from financial institutions or family, selling assets, reducing spending, and seeking help from social networks or institutions.
Chronic Vulnerability Among Urban Households in Colombia
One clear finding is that many households that experience a shock are likely to face another. In 2010, 30% of households experienced shocks. Most of these households were hit again in 2016. And this persists: 15% of households had shocks in all three years of the survey. This kind of recurrence suggests that for many households, experiencing shocks is not just a temporary state; it’s a condition that persists over time.
Figure 1: transition of shock experiences for urban households (2010 to 2016)
Source: The figure tracks the same households in the 2010, 2013, and 2016 rounds of the ELCA.
What’s more, not all shocks have the same impact. Households in the ELCA survey reported whether each shock had an intermediate (low or medium) or high economic impact on the household’s stability.
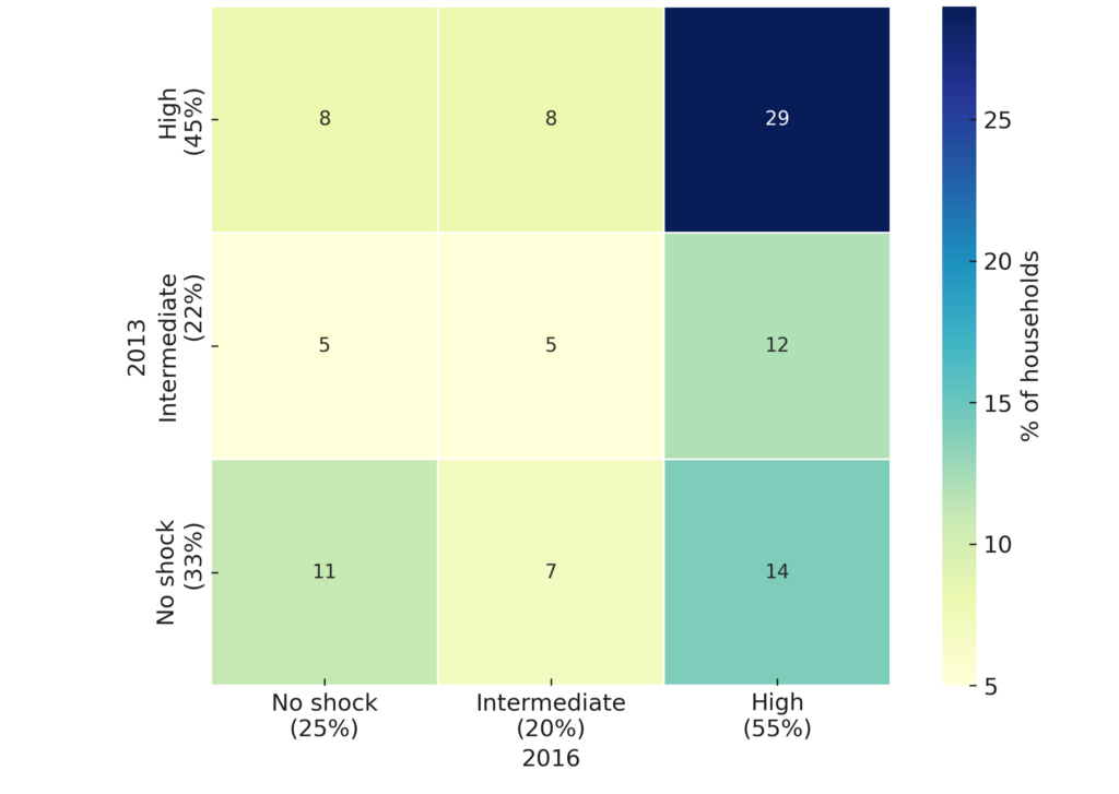
The data reveals a troubling pattern: high-impact shocks are not only common, but they also tend to recur. We can observe this by examining two consecutive survey years. As shown in the top right corner of Figure 2, 29% of households experienced a high-impact shock in both 2013 and 2016. Also, many households didn’t just experience repeated shocks; they faced worsening conditions. Only 11% of households experienced no shocks in both periods, while 14% of the households did not experience a shock in 2013 but then experienced a high-impact shock in 2016. To break this cycle of vulnerability, programs could target households who experience repeated high-intensity shocks over time.
Figure 2: Transition of shock intensity for urban households (2013 to 2016)
Source: Author’s elaboration using ELCA data from rounds 2013 and 2016
Urban Households Struggle to Respond to Repeated Shocks
So how do households respond to shocks? We examined the strategies used by households to cope with health shocks in both 2013 and 2016. Figure 3 shows that only 10% used the same coping strategy both times. Many switched strategies, and some others report not using any coping strategy at all. This lack of consistency points to a deeper problem: Households may not have consistent and reliable tools to protect themselves when crisis strikes again.
Figure 3: Transition of coping strategies among urban households that had health shocks in both 2013 and 2016.

Source: Author’s elaboration using ELCA data from rounds 2013 and 2016
The data from ELCA suggest that shocks are not isolated events for many urban households—they are persistent and often intensify over time —and the lack of effective and consistent coping mechanisms leaves families at risk.
While shocks are often seen as random events, for many urban households in Colombia, they follow a recurring and potentially preventable pattern. These findings raise important policy questions: if experiencing one shock strongly predicts future ones, why wait to intervene? Providing sustained support and coping mechanisms, rather than just one-off assistance, to affected households could help break this cycle. This can be achieved, for example, by improving the capacity of social protection systems to respond quickly.