*Descarga la publicación aquí.
Haití es uno de los países con mayor índice de riesgo de desastres naturales en el mundo y con uno de los más altos indicadores de falta de resiliencia en América Latina y El Caribe. Año tras año se presenta la temporada de huracanes entre junio y noviembre, generando eventos de lluvia extrema, vientos fuertes, inundaciones rápidas y lentas, y deslizamientos.Considerando únicamente eventos de amenazas hidrometeorológicas (ciclones tropicales, tempestades, tornados, tormentas de nieve, nevadas, avalanchas, marejadas e inundaciones), entre 1994 y 2013 Haití fue catalogado como el tercer país con mayores afectaciones en términos de pérdida de vidas y daños económicos. Un ejemplo de esto fueron los 4 huracanes (Fay, Gustav, Hanna y Ike) en 2008 en un lapso de 1 mes. Su consecuencia no solamente fue la pérdida de vidas humanas, heridos y afectados, sino también el colapso de la red nacional de transporte, generando la desconexión de diferentes regiones del país y la imposibilidad de transportar bienes y alimentos. Las pérdidas totales se estimaron en $897 millones de dólares (14.6% del PIB)Ante esta condición y considerando que, según el IPCC, el cambio climático puede generar mayores y más frecuentes eventos de precipitación que pueden producir inundaciones en algunas zonas del planeta, el gobierno de Haití ha solicitado el apoyo del Banco Interamericano de Desarrollo (BID) en conjunto con el Banco Europeo de Inversiones (EIB), para la construcción y/o reforzamiento de infraestructura vial nueva y existente (vías y puentes), en la que se debe garantizar la resiliencia al riesgo de desastres naturales y climáticos.
Localización de 33 puentes vehiculares seleccionados para el proyecto.Fuente: MTPTC (Ministère des Travaux Publics, Transports et Communications)
El programa de construcción/reforzamiento incluyó 33 puentes localizados en 8 de los 10 departamentos del país. Debido a las amenazas hidrometeorológicas a las cuales se encuentra expuesto el país se considera que el programa debe incluir diseños resilientes ante los efectos del cambio climático para inundaciones.En respuesta, el BID inició la coordinación con la división de Transporte (INE/TSP), la división de Cambio Climático (CSD/CCS) y la división de Agua y Saneamiento (INE/WSA) para:- Integrar el cambio climático en el modelo hidrológico, con el objetivo de calcular hidrogramas de creciente (variación del caudal con el tiempo) con la influencia de las proyecciones futuras de precipitación extrema.
- Generar mapas de inundación para diferentes períodos de retorno, usando la herramienta HydroBID Flood.
- Generar anexos técnicos para el diseño geométrico y estructural de los puentes vehiculares.
- Modelo geométrico: características geométricas de las cuencas,
- Modelo meteorológico: tormentas de diseño asociadas a períodos de retorno,
- Modelo de pérdidas: procesos de infiltración y/o evapotranspiración de las cuencas,
- Modelo de transformación: transformación de volumen de lluvia a escorrentía,
- Modelo de tránsito: cálculo de tiempo de viaje del volumen de escorrentía a los 33 puentes.

Hidrogramas de creciente estimados para condición de precipitación históricaen la cuenca de drenaje del puente 120 (río Estimé)

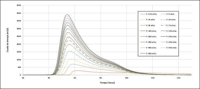
Hidrogramas de creciente estimados para condición de precipitación con cambio climáticoen la cuenca de drenaje del puente 120 (río Estimé)
A partir del análisis comparativo de los resultados de caudal pico entre el escenario histórico y futuro, se deducen tres tipos de resultados: incremento, decrecimiento y sin cambio. Del total de 33 puentes, en términos del cambio de caudal pico a futuro en relación con el histórico, 15 (45%) puentes incrementan su caudal, 2 (6%) puentes permanecen sin cambios y 16 (48%) puentes disminuyen su caudal.