Pasar al contenido principal

Una recesión muy particular: por qué la desigualdad puede empeorar mucho más después de la COVID-19

Investigación para el desarrollo Una recesión muy particular: por qué la desigualdad puede empeorar mucho más después de la COVID-19 Resulta tentador analizar la grave crisis económica de la actual pandemia COVID-19 a través del mismo prisma utilizado para analizar las recesiones que han golpeado a América Latina y el Caribe durante las últimas tres décadas... Oct 23, 2020
desigualdad COVID-19 mercados laborales coronavirus America Latina Caribe-min

Resulta tentador analizar la grave crisis económica de la actual pandemia COVID-19 a través del mismo prisma utilizado para analizar las recesiones que han golpeado a América Latina y el Caribe durante las últimas tres décadas. Después de todo, la mayoría de esas recesiones anteriores condujeron a un aumento de la pobreza y el desempleo, como lo ha hecho la crisis actual. Pero en materia de desigualdad, que es una de las dificultades más crónicas de la región, la recesión de la COVID-19 es un fenómeno completamente distinto. Factores como la deuda, la crisis monetaria y las crisis financieras que golpearon a muchos países durante los años ochenta y noventa afectaron a todas las personas, pero sobre todo a la clase media. No obstante, no contribuyeron tanto a la desigualdad. En cambio, la pandemia COVID-19 está perjudicando a los más vulnerables de manera desproporcionada e inequívoca, con considerables pérdidas de ingresos y con una alta probabilidad de un empeoramiento de la desigualdad que podría erosionar muchos de los avances logrados en materia de igualdad durante la primera década del siglo XXI.

Todo esto requerirá una sólida respuesta por parte de los gobiernos, incluso una vez superada la crisis sanitaria, con particular hincapié en un crecimiento inclusivo que vaya de la mano con el bienestar y las aspiraciones de millones de personas cada vez más descontentas. Esa es una de las conclusiones del nuevo informe del BID, "La crisis de la desigualdad". El informe analiza los indicadores de la distribución y los efectos a corto plazo en los mercados laborales de las crisis anteriores a fin de señalar las similitudes y diferencias con la crisis actual. También ofrece recomendaciones a los formuladores de políticas públicas para ayudarles a trazar un curso de acción que limite tanto las crecientes diferencias económicas entre las personas como la frustración que generó las explosivas manifestaciones callejeras en 2019.

Crisis anteriores en América Latina y el Caribe

Las crisis económicas suelen suscitar un shock negativo en la demanda de mano de obra que redunda en un aumento de la pobreza. Esto ocurre a través de los canales de salario y empleo. Para comprender el efecto de estos episodios en los resultados del mercado laboral y en las estadísticas distribucionales, se realizó un análisis basado en las anteriores recesiones y crisis económicas en América Latina y el Caribe.

En primer lugar, las recesiones se definieron como desviaciones con respecto a la tendencia del PIB real (que se obtuvo utilizando un filtro de Hodrick-Prescott). El ejercicio identificó 129 recesiones entre 1972 y 2018 en 22 países de la región. Se calculó la duración de las crisis en años y su severidad (la caída máxima del PIB per cápita entre el punto máximo y el mínimo). En segundo lugar, se midió el máximo costo socioeconómico de cada recesión calculando el cambio experimentado en cada variable (pobreza, desempleo, Gini) entre sus peores valores durante la recesión y aquellos observados el año inmediatamente anterior al comienzo de la recesión. Nótese que este análisis mezcla indiscriminadamente diferentes tipos de recesiones, independientemente de si son causadas por variables no fundamentales de la economía (como la crisis de la COVID-19) o por desequilibrios macroeconómicos y financieros. Una de las limitaciones de este análisis es que los gobiernos, las empresas y los trabajadores pueden reaccionar de manera distinta dependiendo del carácter de la recesión, lo que limita la extrapolación de los efectos sobre el empleo de un tipo de crisis a otro.

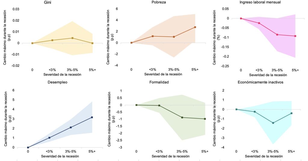
El gráfico 1 ilustra cómo los trabajadores y las familias se ven afectados por crisis económicas pasadas de diferentes magnitudes. El gráfico muestra el cambio total observado en distintos indicadores entre el año previo a la crisis y el peor momento de esta. En promedio, los salarios reales han disminuido entre un 2% y un 10%, dependiendo de la severidad de la crisis, mientras que el desempleo ha aumentado y los empleos formales han disminuido entre 1 y 3 puntos porcentuales. La oferta laboral ha crecido, especialmente entre las mujeres que se incorporan al mercado laboral para compensar las pérdidas del ingreso del hogar. Hay una gran incertidumbre asociada a estos resultados a raíz de la crisis, la cual se refleja en parte en los intervalos de confianza del 95%. En el peor de los casos, los salarios disminuyen un 21% y la pobreza aumenta cinco puntos porcentuales.

En general, las crisis del pasado han aumentado el desempleo y reducido los salarios reales. Los trabajadores se vieron desplazados hacia la informalidad y las mujeres que no habían estado trabajando buscaron empleo. Estos ajustes del mercado laboral agravaron la pobreza, pero su impacto en la desigualdad fue ambiguo. Todas las crisis económicas han afectado a los más vulnerables. Ningún grupo ha conseguido evitarlas por completo. Pero aquellos situados en el medio de la distribución de habilidades han sido los más afectados, e incluso aquellos con altos niveles de educación han sufrido las consecuencias negativas del shock, incluyendo la clase media alta (gráfico 2).

Gráfico 1. Promedio del deterioro máximo de los resultados del mercado laboral durante las recesiones en América Latina

Por severidad de la recesión medida por la magnitud de la disminución en el PIB per cápita real anualizado

Promedio del deterioro máximo de los resultados del mercado laboral durante las recesiones en América LatinaFuente: Matías Busso y Julián Messina (eds). “La crisis de la desigualdad: América Latina y el Caribe en la encrucijada”, 2020

Gráfico 2. Cambios en la pobreza y en los resultados del mercado laboral durante las recesiones (por nivel educativo)

Cambios en la pobreza y en los resultados del mercado laboral durante las recesiones

La crisis después de la COVID-19

Sin embargo, las pandemias parecen aumentar la desigualdad de manera inequívoca. Utilizando los datos a nivel de país de la mayoría de los países del mundo, Furceri et al. (2020) estudian los efectos de pandemias anteriores a lo largo de las dos últimas décadas y observan que estos episodios han generado aumentos persistentes en el coeficiente de Gini (de hasta un 1,75% cinco años después del episodio), así como aumentos persistentes en el porcentaje del ingreso percibido por los individuos que están en los deciles superiores de la distribución, y pérdidas de ingresos entre los trabajadores poco cualificados.

América Latina comenzó a sufrir la pandemia con tres grandes problemas estructurales: alta informalidad, alta desigualdad y baja productividad. A medida que la COVID-19 comenzó a propagarse durante los primeros meses del brote, los gobiernos de la región adoptaron medidas extremas, pero necesarias para contenerla, dando prioridad en casi todos los casos a alguna forma de aislamiento social. Muchas empresas sufrieron una caída inmediata y pronunciada de la demanda, pero algunas no. Los únicos que tenían permitido salir de sus casas eran los trabajadores empleados en "actividades esenciales". La alternativa, trabajar desde casa, ha dependido de factores como la naturaleza del empleo, la tecnología de la información del empleador y la conectividad del trabajador en el hogar. Los empleos que tienen mayor probabilidad de verse afectados por las medidas de distanciamiento social son aquellos con trabajadores económicamente vulnerables, es decir, con pocos años de escolaridad, opciones limitadas de atención de la salud y salarios que los sitúan en la parte inferior de la distribución de ingresos.

Esta es la razón por la que la pandemia COVID-19 afectará a los más vulnerables de manera desproporcionada. Las medidas de emergencia solo han compensado de manera parcial las pérdidas de ingresos, en particular entre la clase media baja. A medida que la crisis evolucione, el shock de oferta negativo inducido por las políticas de distanciamiento social disminuirá, dejando a su paso una demanda agregada considerablemente reducida. La demanda seguirá siendo particularmente débil en aquellos sectores que exigen alta proximidad personal, al menos hasta que se disponga de una cura viable o de una vacuna ampliamente disponible. Y son precisamente esos sectores los que más emplean a trabajadores de bajos salarios. Entre tanto, los efectos regresivos de la pandemia serán duraderos.

Por esa razón, en nuestro libro destacamos, entre otras medidas, la urgente necesidad de promulgar reformas al mercado laboral que impulsen la creación de empleo formal y amplíen las redes de seguridad a todos los trabajadores. Esta recesión es diametralmente distinta de aquellas que han golpeado a la región en las últimas décadas, y será necesario que los países sean ambiciosos y sumamente creativos para evitar un mayor empeoramiento de la desigualdad.

Jump back to top