Pasar al contenido principal

Cómo la confianza se ve afectada por las percepciones de desigualdad en América Latina y el Caribe

Investigación para el desarrollo Cómo la confianza se ve afectada por las percepciones de desigualdad en América Latina y el Caribe La falta de confianza entre las personas y entre estas y las instituciones es un problema crónico en América Latina y el Caribe que a menudo se vincula con la desigualdad. Después de todo, en una... Mayo 12, 2021
Chess,Character,King,Reflection,In,A,Mirror

La falta de confianza entre las personas y entre estas y las instituciones es un problema crónico en América Latina y el Caribe que a menudo se vincula con la desigualdad. Después de todo, en una región que se encuentra entre las más desiguales del mundo, es natural desconfiar de las élites políticas que parecen cooptar al gobierno y asegurarse de que las políticas favorezcan a los ricos en detrimento de los pobres. Además, cuando el gobierno parece representar a las élites, es fácil que los ciudadanos crean que cada uno está por su cuenta, y que no pueden confiar en que sus conciudadanos puedan trabajar conjuntamente por el bien común. Todo esto es terrible para la democracia, como también lo es para el crecimiento económico, el cual requiere altos niveles de confianza interpersonal y en las instituciones a fin de fomentar la toma de riesgos y una mayor actividad económica.

El problema de la desigualdad y la confianza puede observarse empíricamente en el caso de los países de América Latina y el Caribe. El gráfico a continuación (gráfico 1) que utiliza, por un lado, los coeficientes de Gini como medida de la desigualdad, y, por el otro, datos sobre la confianza interpersonal de la Encuesta Mundial de Valores (WVS, por sus siglas en inglés), muestra la correlación negativa entre la confianza y la desigualdad en los países de América Latina y el Caribe. Los países de la región se concentran en el cuadrante donde confluyen los niveles más bajos de confianza y los más altos de desigualdad.

Gráfico 1. Relación entre confianza y desigualdad (promedio de país)

Fuente: Cálculos de los autores basados en datos de la Encuesta Mundial de Valores y los Indicadores del Desarrollo Mundial del Banco Mundial.
Nota: Los datos sobre la confianza provienen de las seis olas de la Encuesta Mundial de Valores (1981-2014). Los datos del índice Gini provienen de los Indicadores del Desarrollo Mundial (1981-2017). La muestra total consiste en 88 países, entre los cuales se encuentran: Argentina, Brasil, Chile, Colombia, República Dominicana, Ecuador, El Salvador, Guatemala, Haití, México, Perú, Trinidad y Tobago, Uruguay y Venezuela

Al examinar con más detalle los datos, se puede ver que la riqueza no parece ser un indicador tan certero de la confianza interpersonal, como podría esperarse. En cambio, las percepciones que tienen las personas sobre la desigualdad son fundamentales, incluso cuando esas percepciones no siempre reflejan con exactitud su posición en la distribución de ingresos. Factores como el acceso a bienes públicos, en particular la educación y la salud, así como la vulnerabilidad ante la delincuencia, también pueden ser cruciales para la percepción que tienen las personas sobre la equidad en los ingresos.

La verdad es que las personas no son muy buenas para identificar correctamente dónde se ubican sus ingresos con respecto a los niveles de ingreso nacional. Además, les resulta difícil evaluar la distribución de ingresos de forma desapasionada, ya que sus preferencias sociales hacen que se muestren muy reacias a ganar menos que los demás. En el gráfico 2 se exploran estos sesgos, tomando como referencia una encuesta realizada por el Proyecto de Opinión Pública de América Latina (LAPOP), para lo cual se comparó la percepción de la clase social de los encuestados con la riqueza y los ingresos declarados por ellos mismos. En ambos paneles, los individuos de los quintiles superiores de la distribución de ingresos y riqueza tienden a creer que pertenecen a una clase inferior a la que indican sus ingresos registrados o la riqueza de sus hogares. En el otro extremo de la distribución, los pobres tienden a sobrestimar su posición en la distribución de ingresos.

Gráfico 2. Subestimación y sobrestimación del ingreso y la riqueza

A. Clase social y distribución del ingreso.

B.Clase social y distribución de la riqueza.

Fuente: Cálculos de los autores basados en los datos de LAPOP.
Notas: Los quintiles de riqueza se crearon a partir del índice de riqueza de activos los activos de los hogares (PCA, por sus siglas en inglés, principal component analysis) utilizando un conjunto de 10 variables binarias que establecen diferentes activos y características del hogar. Posteriormente, de acuerdo con el puntaje, a cada hogar se le asignó un valor del 1 al 5 para generar quintiles de riqueza, como proxy del ingreso del hogar. La clase social es una autoasignación y los encuestados informan los niveles de ingresos. El grupo sin ingresos se incluyó en la clase más baja y representa el 3.99 por ciento de toda la muestra. La muestra incluye datos de tres periodos: 2014, 2016, 2018/2019.

¿Cómo influyen estos sesgos en la confianza de los individuos? El gráfico 3 capta parte de dicha dinámica. Por ejemplo, el panel A muestra los niveles de confianza por quintiles de riqueza y para distintos grados de percepción de equidad en la distribución de ingresos. Las líneas indican los niveles de confianza para cada quintil y cada nivel de percepción de la distribución de ingresos (eje vertical izquierdo). Mientras que las barras identifican la proporción de personas que piensan que la distribución es justa o injusta (eje vertical derecho). Es interesante señalar que, a pesar de que la confianza interpersonal aumenta ligeramente en la distribución de la riqueza, son las percepciones de los encuestados las que marcan la diferencia. El panel B revela otra evidencia importante: Muy pocas personas de toda la muestra, independientemente del quintil de riqueza al que pertenezcan, se consideran parte de la clase alta (la barra más oscura aumenta apenas levemente con la riqueza real).

Gráfico 3. La percepción de las personas de la riqueza puede estar más estrechamente correlacionada con la confianza que con la riqueza

A. Por percepción de la equidad de la distribución del ingreso

B. Por clase social autoasignada

Fuente: Cálculos de los autores basados en datos del Latinobarómetro.
Nota: La confianza generalizada se calcula a partir de las respuestas a la pregunta: «En términos generales, ¿diría usted que se puede confiar en la mayoría de las personas, o que debe tener mucho cuidado al tratar con ellas?». La confianza es igual a 1 si el encuestado responde «Se puede confiar en la mayoría de las personas» e igual a 0 de lo contrario. Los quintiles fueron creados mediante un análisis de componentes principales (PCA, por sus siglas en inglés, principal component analysis) a partir del Household Asset Wealth Index (Índice de riqueza de los activos de los hogares) utilizando un conjunto de variables binarias que representan diversos activos y características de los hogares. La variable correlacionada con la percepción de la equidad de la distribución del ingreso proviene de la pregunta: «¿Cuán equitativa cree usted que es la distribución del ingreso en su país?». El encuestado se declara de una determinada clase social. En el panel A, los 11 años de la muestra corresponden al periodo 1997-2018. En el panel B, los años de la muestra son 2011, 2013, 2017 y 2018. Se incluyen dieciocho países: Argentina, Bolivia, Brasil, Chile, Colombia, Costa Rica, República Dominicana, Ecuador, El Salvador, Guatemala, Honduras, México, Nicaragua, Panamá, Paraguay, Perú, Uruguay y Venezuela.

Estas cifras ilustran la gran brecha entre la realidad y la percepción. Pero ¿cómo se forman estas percepciones? Si tomamos como ejemplo una de las variables de percepción -la equidad en la distribución de ingresos-, el análisis de regresión arroja algunos resultados convincentes. En primer lugar, tras tener en cuenta las características del vecindario y las experiencias personales, se encontró que la riqueza no es estadísticamente significativa a la hora de explicar las percepciones de los ciudadanos sobre la equidad en la distribución de ingresos. En segundo lugar, factores como la educación, el acceso a bienes públicos (a saber, la educación, la salud) o la experiencia de una persona con la delincuencia sí tienen un efecto significativo en esas percepciones de equidad. Se puede encontrar más análisis, con diferentes variables de percepción, en esta nota técnica.

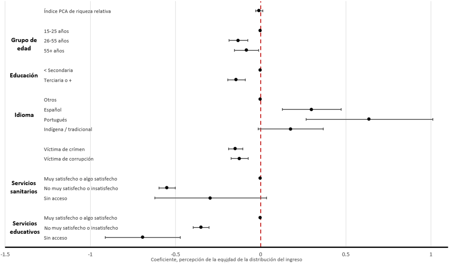
Las personas de mayor edad y con mayor nivel educativo tienden a pensar que la distribución de ingresos es más injusta que las personas más jóvenes y con menor nivel educativo. Tanto las víctimas de la delincuencia como las de la corrupción tienden a tener una peor opinión de la distribución de ingresos, al igual que quienes tienen acceso a peores servicios de educación y salud. De hecho, las características del vecindario y las experiencias personales tienden a determinar las percepciones sobre la desigualdad más que las diferencias reales de riqueza relativa (gráfico 4).

Gráfico 4. Determinantes de las percepciones de la equidad de la distribución del ingreso

Fuente: Cálculos de los autores basados en datos del Latinobarómetro.
Nota: La variable dependiente, la percepción de la equidad de la distribución del ingreso proviene de la pregunta: «¿Cuán justa cree usted que es la distribución del ingreso en su país?» La escala de las respuestas oscila entre muy injusta, injusta, justa y muy justa. Se utilizó una regresión logística ordenada con errores estándar robustos e intervalos de confianza al 90%. Los puntos representan los coeficientes de las regresiones y las líneas los intervalos de confianza. La muestra total tiene 28,860 personas en dieciocho países en toda la región entrevistadas en las encuestas de 2007 y 2016.

Nada de esto significa que la desigualdad no sea un factor social y psicológico muy importante. Pero los gobiernos y los formuladores de políticas públicas también deben tener en cuenta el papel de las percepciones a la hora de diseñar políticas destinadas a impulsar la cohesión social. Según la evidencia, si las percepciones de las personas sobre sus ingresos relativos son inexactas, cerrar la brecha de la desigualdad en términos de ingresos y riqueza podría no ser suficiente para aumentar la confianza o incluso el crecimiento integrador.

RES-DIA-descarga-confianza-cohesion-social-crecimiento-america-latina-caribe
Jump back to top